compare_group_means, _median
plot_mean_diff, _median_diff
統計量に基づく2グループの比較と差分の可視化
概要
これら関数は、入力された2つのデータフレームについて、各数値変数の統計量に基づいた比較を提供します。
compare_group_means(
group1: IntoFrameT,
group2: IntoFrameT,
group_names: Sequence[str] = ('group1', 'group2'),
columns: Literal['common', 'all'] = 'all',
to_native: bool = True
)
compare_group_median(
group1: IntoFrameT,
group2: IntoFrameT,
group_names: Sequence[str] = ('group1', 'group2'),
columns: Literal['common', 'all'] = 'all',
to_native: bool = True
)
plot_mean_diff(
group1: IntoFrameT,
group2: IntoFrameT,
stats_diff: Literal["norm_diff", "abs_diff", "rel_diff"] = "norm_diff",
ax: Optional[Axes] = None,
)
plot_median_diff(
group1: IntoFrameT,
group2: IntoFrameT,
stats_diff: Literal["abs_diff", "rel_diff"] = "rel_diff",
ax: Optional[Axes] = None,
)引数 Argument
group1(必須)a pandas.DataFrame
数値変数を含む pandas.DataFrame でgroup2との比較対象となるものgroup2(必須)a pandas.DataFrame
数値変数を含む pandas.DataFrame でgroup1との比較対象となるものgroup_nameslist of str
表頭に表示するグループの名前。['group1', 'group2']のように、2つの要素をもつ文字列のリストとして指定してください。columnsstr
2つのグループの結果を結合する際に含める変数を指定します。"common": 両方のグループに存在する変数のみが含まれます。"all": いずれかのグループに存在する全ての変数が含まれます。この場合、一方のグループにのみ存在する変数についての差分統計量は、欠損値(例:NaNまたはNone)となります。
to_native: bool
Trueの場合、入力と同じ型のデータフレーム(e.g. pandas / polars / pyarrow)を返します。
Falseの場合、narwhals.DataFrameを返します。デフォルトはTrueで、to_native = Falseは、主にライブラリ内部での利用や、バックエンドに依存しない後続処理を行う場合を想定したオプションです。stats_diff: str (plot_mean_diff()およびplot_median_diff()のみ)
グラフの描画に使用する差分統計量。'norm_diff'(plot_mean_diff()のみ)、'abs_diff','rel_diff'のいずれかから選ぶことができます。
返り値 Value
compare_group_means()関数および, compare_group_median() 関数では、次の値をもつ pandas.DataFrame が出力されます。
group1, group2(初期設定の場合)
各グループにおける記述統計統計量の値norm_diff(compare_group_means()のみ)
標準化された平均値の差で、2つのグループの平均値を \(\bar{X}_1\), \(\bar{X}_2\)、分散を \(s^2_1, s^2_2\) とし、サンプルサイズを \(n_1, n_2\) とするとき、次式のように定義されます。
\[ \delta = \frac{\bar{X}_1 - \bar{X}_2}{s},~~~~~ s^2 = \frac{(n_1-1)s_1^2 + (n_2-1)s_2^2}{n_1 + n_2 - 2} \]
abs_diff
2つのグループの記述統計量の絶対差rel_diff
2つのグループの記述統計量の相対差。2つのグループの記述統計量を \(\bar{X}_1\), \(\bar{X}_2\) とするとき、次式のように定義されます。
\[ \delta = \cfrac{\bar{X}_1 - \bar{X}_2}{\cfrac{\bar{X}_1 + \bar{X}_2}{2}} = 2 \cdot \frac{\bar{X}_1 - \bar{X}_2}{\bar{X}_1 + \bar{X}_2} \]
plot_mean_diff() 関数および, plot_median_diff() 関数では、グループ別の記述統計両の差をグラフとして可視化します。詳細は使用例を参照して下さい。
使用例 Examples
import pandas as pd
import py4stats as py4st
from palmerpenguins import load_penguins
penguins = load_penguins().drop('year', axis = 1) # サンプルデータの読み込みres1 = py4st.compare_group_means(
penguins.query('species == "Gentoo"'),
penguins.query('species == "Adelie"')
)
print(res1.round(3))
#> variable group1 group2 norm_diff abs_diff rel_diff
#> 0 bill_depth_mm 14.982 18.346 -3.012 3.364 -0.202
#> 1 bill_length_mm 47.505 38.791 3.048 8.713 0.202
#> 2 body_mass_g 5076.016 3700.662 2.868 1375.354 0.313
#> 3 flipper_length_mm 217.187 189.954 4.180 27.233 0.134res2 = py4st.compare_group_median(
penguins.query('species == "Gentoo"'),
penguins.query('species == "Adelie"'),
group_names = ['Gentoo', 'Adelie']
)
print(res2.round(3))
#> variable Gentoo Adelie abs_diff rel_diff
#> 0 bill_depth_mm 14.982 18.346 3.364 -0.202
#> 1 bill_length_mm 47.505 38.791 8.713 0.202
#> 2 body_mass_g 5076.016 3700.662 1375.354 0.313
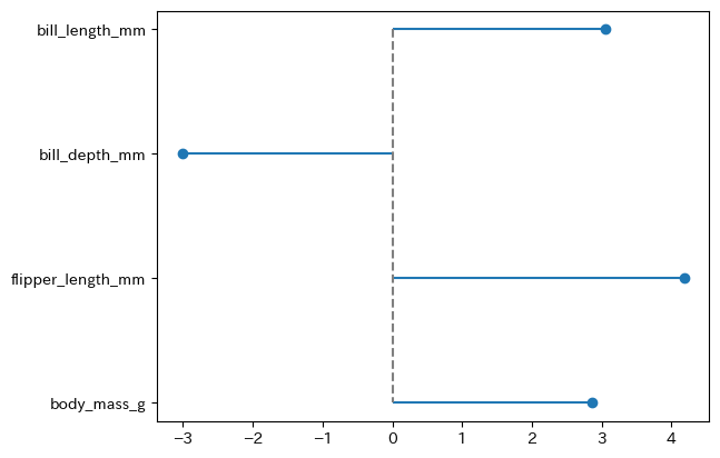
#> 3 flipper_length_mm 217.187 189.954 27.233 0.134py4st.plot_mean_diff(
penguins.query('species == "Gentoo"'),
penguins.query('species == "Adelie"'),
stats_diff = 'norm_diff'
)
py4st.plot_mean_diff(
penguins.query('species == "Gentoo"'),
penguins.query('species == "Adelie"'),
stats_diff = 'abs_diff'
)
py4st.plot_median_diff(
penguins.query('species == "Gentoo"'),
penguins.query('species == "Adelie"'),
stats_diff = 'rel_diff'
)
